一般概念里, 我們測量設備的傾斜度是使用傾角傳感器進行測量的, 在電子數字水平儀、醫療機械調平, 角度測量和監視, 汽車、起重機械的傾斜角度測量等多個領域都使用這個方法。但是,在實際工作中,很多對水平傾角有要求的設備并沒有安裝測量裝置, 怎樣快速方便的測量設備傾角是自動化儀表人員面臨的問題。根據我們對液位測量方法的介紹,可以知道使用差壓變送器進行傾角測量是液位測量方法的一種特殊利用, 是利用在我們建立的測量系統中液體在不同水平面產生壓力差, 利用差壓變送器測量此差值, 并使用數學計算換算成傾角的一種測量方法。
1 設備傾斜度的測量原理和數學推斷
測量系統的組成。為了更好的說明測量原理, 我們要先建立一個測量系統。整個測量系統由封裝有密度為r液體的環形管、與環形管相連接的差壓變送器、智能計算顯示三部分組成。應用中,由于系統傾角變化引起液位變化, 利用變送器測量到液位變化引起的差壓變化, 通過把標準信號輸出到智能計算模塊進行數據運算, 完成了對設備傾斜度的測量。當然, 如果設備的傾斜度可以調節的話, 我們把系統得出的傾角信號再傳送給相應的調節系統就可以實現對設備傾斜度的控制調節。
數學推理的前提。(1)要求環形管垂直于水平面, 當測量裝置未發生偏轉時的狀態如圖1 所示, 密封液柱h1 、h2 的高度一致,且等于環形管的半徑R0, 此時對差壓變送器調零;
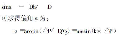
(2)規定環形管逆時針偏角為正, 順時針偏角為負, 重力垂線為0°,整個圓周分為Ⅰ ~ Ⅳ四個象限, 傾角角度用a 表示。當-90°≤a ≤90°時, 傾角落在Ⅰ 、Ⅳ象限, 實際中傾斜一般不會超過180°,因此對90°<a<270°的情況不作討論。差壓變送器的高、低壓室用H 、L 區別。 傾角位于Ⅰ 、Ⅳ象限的推導。假設現在系統發生傾斜, 產生一個傾角, 可知知Dh 與直徑D 存在著正弦關系:

其中:■P -差壓變送器的檢測值, k -變換系數, 是一個常數, k =1/Dρg , 以上推論是在環形管逆時針偏轉的情況下進行的, 可以證明:在環形管順時針偏轉的情況下推論同樣成立。
2 結束語
通過以上數學推論可知, 在-90°≤a ≤90°半周測量的范圍內, 通過差壓變送器測量出壓力差, 運用一定的運算手段就可以得出傾斜度。在現實工作中, 我們可以把此系統安裝在地衡、起重機吊臂等需要測量傾角的裝置上, 根據推算公式, 采用計算機或智能顯示儀表對測量得到的差壓信號進行乘法和三角函數運算, 就可以得到結果, 快速有效的測量設備傾斜度。使用差壓變送器測量傾角, 原理簡單, 制造容易,價格低廉, 其不足之處在于測量范圍有限, 當超出半周測量范圍后, 數學模型會發生變化。希望通過以上的論述,能給各位同行以啟示, 在各種儀表的使用中發現更多更好的測量手段, 為促進我們自動化技術的發展做出努力。
相關推薦:隔膜式雙法蘭差壓變送器測量液氨儲罐液位的原理、注意事項以及常見故障分析、電容式差壓變送器的靜壓誤差分析、
注明,仕樂克儀表文章均為原創,轉載請標明本文地址