使用現場壓力校準儀在生產和工作現場對壓力儀表、壓力變送器及壓力測量控制系統進行校準的數據即可代表生產和工作現場真實運行的情況,減少和避免了環境及工作條件不同而引起的誤差,提高了測試準確度,保證了生產產品的質量,且提高了工作效率。
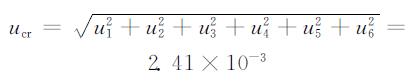
現場壓力變送器檢定結果進行不確定度分析至關重要,其表征現場復雜情況對測量結果可信性、有效性的懷疑程度或不肯定程度的影響,對標準器及配套設備的選定、環境條件限定等均相關。對現場1塊0.5級、量程0~7.5kPa的壓力變送器進行現場檢測并對測量結果進行了不確定度的分析評定。計算數據(環境溫度,28℃;相對濕度,50%)列于表1。

不確定度分量包括:重復性引入,標準壓力值p,高度差,溫度,標準器分辨力(電流),示值誤差(電流測試)。標準不確定度列于表2。
合成相對標準不確定度為:
測量結果的相對擴展不確定度為:![]()
通過分析得出,由于測量誤差的存在,被測量值的不能肯定的程度為不確定度,其表明該結果的可信賴程度,它是測量結果質量的指標。不確定度越小,所述結果與被測的真值越接近,質量越高,其使用價值越高;不確定度越大,測量結果的質量越低,水平越低,其使用價值也越低。Ure=0.48%(k=2)一方面便于使用它的人評定其可靠性,另一方面也增強了測量結果間的可比性